TOP
サイトマップ
お問い合わせ
更新日記
勉強質問掲示板
<
>
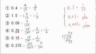
小学校6年【算数】小数を分数で表す 練習
はてブ
Facebook
X
LINE
Pocket
このサイトは、不登校生のための無料学習塾です。 YouTubeからの[ 小学 算数 ]のキーワードで抜き出した動画のリンクを紹介しています。
小学校6年【算数】小数を分数で表す 練習
ショップ:
YouTube
小学校の算数 復習で検索した動画を載せます。
すべての動画・問題集の一覧:https://www.eboard.jp/list/
・活動へのご支援:https://info.eboard.jp/donation/ 毎月10万人以上が ...
小学校6年【算数】小数を分数で表す 練習
2025年10月28日
詳細はこちら
語学・学習参考書 (本・雑誌・コミック) ランキング
1
位
中学英語をもう一度ひとつひとつわかりやすく。改訂版 [ 山田 暢彦 ]
2,530円
2
位
例解学習国語辞典第十二版・漢字辞典新装版 名探偵コナンバッグ付きセット [ 小学館 ]
4,840円
3
位
中学3年間の英文法まとめ お風呂ポスター 3枚セット 高校受験 TOEIC B3サイズ(横51.5cm×縦36...
1,990円
4
位
生きる言葉 (新潮新書) [ 俵 万智 ]
1,034円
5
位
日本語総まとめN5 かんじ・ことば・ぶんぽう・読む・聞く
1,760円
6
位
【 例解学習国語辞典第十二版・漢字辞典新装版 名探偵コナン バッグ付き セット 】 コナン 小...
4,840円
7
位
キク中学英文法 [ 一杉 武史 ]
1,760円
8
位
中学3年間の英単語まとめ お風呂ポスター お風呂 知育 ポスター 3枚セット 厳選750語収録 高...
1,990円
9
位
例解学習国語辞典第十二版・漢字辞典新装版 ドラえもん版セット [ 小学館 ]
5,060円
ランキング一覧へ
総合 ランキング
1
位
新発売記念特価【令和7年産のみ、福島コシヒカリ30%以上使用】きらっとごはん 当店オリジナ...
6,899円
2
位
もちもちベーグル&リッチベーグル両方選べる!たっぷりリッチ&もちもちベーグル 選べる12個...
2,980円
3
位
【半額SALE!6,990円→3,495円】[無塩]訳あり無塩骨取りさば(2キロ)| 骨なし 骨抜き お弁当...
3,495円
4
位
\20%OFFクーポン!28日11:59迄/お茶 緑茶 ペットボトル 500ml 24本 りょく 国産 茶葉 100%...
1,780円
5
位
【最安値に挑戦中!48本セット フレーバー・ラベルレス選べる】炭酸水 500ml 48本 (24本×2ケ...
2,370円
6
位
最安値挑戦★送料無料3,490円!更に2個で700円OFF!3個で1,200円OFF!4個で2,000円OFFクーポン...
3,490円
7
位
【特典】ぽこ あ ポケモン(【早期購入特典】メタモンラグ)
7,812円
8
位
マミーポコパンツ オムツ ドラえもん(3個)【マミーポコ】
5,174円
9
位
コンタクトレンズ ワンデー コンタクト 2箱 4箱まとめ売り【最安値に挑戦! 】 高含水 低含...
1,986円
ランキング一覧へ
最新記事
寝る前30分英単語記憶法
勉強法
勉強しても暗記できない!すぐ忘れちゃう?どうすれば(;´Д`)
勉強法
英語初心者から英検3級まで合格するまでのロードマップ
中学生の勉強法
中学生のための英語勉強の効果的な方法
中学生の勉強法
勉強の基本!自己啓発がカギになる!:本を読むことの重要性
勉強法
記事一覧へ
人気記事
不登校生徒のサポートをChatGPTに聞いてみました&アクセス解析を入れました
更新日記
不登校生徒のための無料学習塾[ae21.net]を開設しました。
更新日記
不登校生徒のための大学入学までの攻略法
不登校生徒のための勉強法
勉強の基本!自己啓発がカギになる!:本を読むことの重要性
勉強法
電子辞書はメルカリで買えば格安です。
教材の入手方法
記事一覧へ
総合 ランキング
1
位
新発売記念特価【令和7年産のみ、福島コシヒカリ30%以上使用】きらっとごはん 当店オリジナルブレンド米 白米 10kg(5kg×2袋)...
6,899円
2
位
もちもちベーグル&リッチベーグル両方選べる!たっぷりリッチ&もちもちベーグル 選べる12個セット(もちもちベーグル2種+...
2,980円
3
位
【半額SALE!6,990円→3,495円】[無塩]訳あり無塩骨取りさば(2キロ)| 骨なし 骨抜き お弁当 送料無料 鯖 魚 おかず 冷凍 無...
3,495円
4
位
\20%OFFクーポン!28日11:59迄/お茶 緑茶 ペットボトル 500ml 24本 りょく 国産 茶葉 100%使用 まとめ買い ケース 箱 旨み...
1,780円
5
位
【最安値に挑戦中!48本セット フレーバー・ラベルレス選べる】炭酸水 500ml 48本 (24本×2ケース) 送料無料 強炭酸 炭酸 無糖...
2,370円
ランキング一覧へ
語学・学習参考書 (本) ランキング
1
位
公式TOEIC Listening & Reading 問題集 12
3,630円
2
位
TOEIC L&R TEST金のフレーズ 増補改訂版
990円
3
位
タッチペンでまなべる!はじめてのひらがなずかん 英語つき
6,578円
4
位
2026年度版 英検2級 過去6回全問題集
1,980円
5
位
12歳までに身につけたい「ことば」にする力 こども言語化大全
1,760円
ランキング一覧へ
絵本・児童書・図鑑 (本) ランキング
1
位
つかめ!理科ダマン 11 みんながロボットに夢中!編
1,320円
2
位
【楽天ブックス限定デジタル特典】レジンでつくる ときめき文具(3点セット(むぎまま直伝!BOOK未収録 作り方レシピ/ラブリ...
2,860円
3
位
デコピンのとくべつないちにち
1,980円
4
位
おともだちえほん
1,430円
5
位
角川まんが学習シリーズ 日本の歴史 5大特典つき全16巻+別巻5冊セット
20,900円
ランキング一覧へ
資格・検定 (本) ランキング
1
位
公式TOEIC Listening & Reading 問題集 12
3,630円
2
位
TOEIC L&R TEST金のフレーズ 増補改訂版
990円
3
位
看護師・看護学生のためのレビューブック 2027
6,930円
4
位
【令和8年度】 いちばんやさしい ITパスポート 絶対合格の教科書+出る順問題集
1,815円
5
位
2026年度版 みんなが欲しかった! 宅建士の教科書
3,300円
ランキング一覧へ